Skip to main content

Inventory and Configuration reports

Hostgroups-Host-Templates

Description

This report displays information on the hosts in the reporting datawarehouse, their parent template, relation to groups and categories and creation date. You can filter on host groups and categories.

image

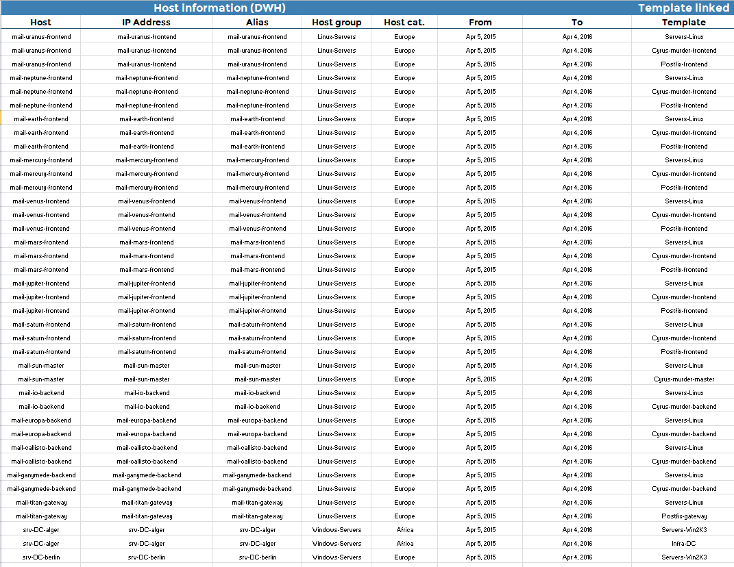
The table below shows the links between host templates:

image

The following table shows the link between service and host templates:

image

The following table presents an overview of the host templates and their check and notification properties:

image

Parameters

Parameters required for the report:

  • The reporting period
  • The following Centreon objects:
ParameterParameter typeDescription
HostgroupsMulti selectSelect host groups.
Host CategoriesMulti selectSelect host categories.

Hostgroups-Service-Templates

Description

This report displays information on the services in the reporting datawarehouse, their parent template, their relationship with groups and categories, and creation date. You can filter on host groups, host categories and service categories.

image

The table below shows the links between host templates:

image

The following table shows the link between host and service templates:

image

The following table presents an overview of the service templates and their check and notification properties:

image

Parameters

Parameters expected by the report are:

  • The reporting period
  • The following Centreon objects:
ParameterParameter typeDescription
HostgroupsMulti selectSelect host groups.
Host CategoriesMulti selectSelect host categories.
Service CategoriesMulti selectSelect service categories.

Poller-Performances

Description

This report displays information on the configuration and performance of the Centreon Engine running on a poller.

How to interpret the report

The poller name, IP address, version number and state of the engine, and date of the last restart are displayed in the first part of the report.

image

The report then shows the status of the hosts and services monitored by the poller.

Statistics on latencies and execution times are presented along with the hosts and services that exceed tolerated thresholds.

image

Finally, the report displays the current configuration of the Centreon Engine and offers tips to optimize it (in case of performance issues).

image

Parameters

The data appearing in the report is real-time data.

Parameters required for the report:

  • The following Centreon objects:
ParameterTypeDescription
Select poller(s) for the reportRadio buttonGenerate the report on the central poller, the remote pollers, or all pollers.
Limit latency (sec)Text fieldSpecify latency threshold. Hosts / services exceeding the threshold are listed.
Limit execution time (sec)Text fieldSpecify execution time threshold. Hosts / services exceeding the threshold are listed.

Prerequisites

The prerequisites for this report are:

  • Monitoring of the load average on the pollers (metric names should be: load1, load5 and load15)
  • Monitoring of the CPU on the poller (metric names should contain cpu string with the core number. Example: for a 4 core CPU, metrics can be cpu0,cpu1... or cpu_0,cpu_1...

Hosts-not-classified

Description

This report displays all unclassified hosts. Information is represented in two tables:

  • One displays all hosts without a host group.
  • The second displays all hosts without a host category.

A host without either a host group or a host category will appear in both tables.

Any changes to host classification will appear the day after the change is made.

image

Parameters

This report requires no parameters.

Prerequisites

None.

Services-not-classified

Description

This report displays all unclassified services. Information is presented in a table.

Any changes to service classification will be appear the day after the change is made.

image

Parameters

This report requires no parameters.

Prerequisites

None.